Năm 2025, nhiều trường đại học công bố bảng quy đổi điểm thi V‑SAT (đánh giá năng lực trên máy tính) sang điểm thi tốt nghiệp THPT bằng phương pháp phân vị cộng nội suy tuyến tính. Quy đổi này giúp phụ huynh và học sinh hiểu rõ hiệu quả phương thức kết hợp xét tuyển đa dạng, từ đó dễ dàng so sánh và định hướng chọn trường – chọn ngành chính xác.

Bảng mẫu quy đổi điểm V‑SAT → điểm thi THPT (theo phân vị Toán)
| Phân vị (%) | V‑SAT (a < x ≤ b) | THPT tương ứng (c < y ≤ d) |
|---|---|---|
| Top 3% | 132 – 150 | 8,5 – 10,0 |
| Top 5% | 128,5 – 132 | 8,1 – 8,5 |
| Top 10% | 122,5 – 128,5 | 7,75 – 8,1 |
| Top 20% | 114,5 – 122,5 | 7,00 – 7,75 |
| Top 30% | 108 – 114,5 | 6,6 – 7,0 |
| Top 40% | 102,5 – 108 | 6,25 – 6,6 |
| Top 50% | 97 – 102,5 | 6,0 – 6,25 |
| … | … | … |
| Dưới 90% | 6 – 68 | 1,5 – 4,5 |
Ví dụ: Điểm V‑SAT Toán của thí sinh là 115 (thuộc nhóm 20 %), quy đổi tương đương khoảng 7,0 – 7,75 điểm THPT. Với vị trí phân vị và công thức nội suy, giá trị trung bình khoảng 7,05 điểm THPT.
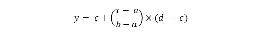
Phương pháp thực hiện là xây dựng Bảng quy đổi điểm thi các môn thi V-SAT sang điểm thi tốt nghiệp THPT theo phương pháp bách phân vị, kết hợp phép nội suy tuyến tính để quy đổi các mức điểm tương đương theo thứ hạng phần trăm. Công thức nội suy tuyến tính như sau:

Trong đó: x là điểm V-SAT thí sinh; a, b là hai điểm mốc xác định khoảng điểm thi V-SAT (a < x ≤ b); y là điểm quy đổi tương đương điểm tốt nghiệp THPT; c, d là hai điểm mốc xác định khoảng điểm tốt nghiệp THPT tương ứng (c < y ≤ d).
Các điểm mốc (phân vị) được xác định trên cơ sở phân tích kết quả điểm bài thi theo từng môn thi của tất cả các thí sinh tham dự đồng thời 2 Kỳ thi (vừa tham dự kỳ thi V-SAT và vừa tham dự Kỳ thi tốt nghiệp THPT).
Ví dụ, học sinh có điểm thi V-SAT môn Toán x = 115 trong khoảng 114.5 < x ≤ 122.5, thuộc thứ hạng 20% nên a = 114.5; b = 122.5; c = 7.0 và d = 7.75. Áp dụng công thức nội suy tuyến tính, điểm thi V-SAT sau khi quy đổi sang điểm thi tốt nghiệp THPT được tính theo công thức:

Điều này có nghĩa là học sinh đạt 115 điểm môn Toán Kỳ thi V-SAT tương đương 7.05 điểm môn Toán Kỳ thi tốt nghiệp THPT.
Với công thức trên, khoảng quy đổi điểm thi V-SAT và điểm thi tốt nghiệp THPT các môn thi theo phân vị như sau:
| Thứ hạng (%) |
Khoảng | Toán | |
| V-SAT (a < x ≤ b) | THPT (c < y ≤ d) | ||
| 3% | Khoảng 1 | 132 < x ≤ 150 | 8.5 < y ≤ 10 |
| 5% | Khoảng 2 | 128.5 < x ≤ 132 | 8.1 < y ≤ 8.5 |
| 10% | Khoảng 3 | 122.5 < x ≤ 128.5 | 7.75 < y ≤ 8.1 |
| 20% | Khoảng 4 | 114.5 < x ≤ 122.5 | 7.0 < y ≤ 7.75 |
| 30% | Khoảng 5 | 108 < x ≤ 114.5 | 6.6 < y ≤ 7.0 |
| 40% | Khoảng 6 | 102.5 < x ≤ 108 | 6.25 < y ≤ 6.6 |
| 50% | Khoảng 7 | 97 < x ≤ 102.5 | 6.0 < y ≤ 6.25 |
| 60% | Khoảng 8 | 91 < x ≤ 97 | 5.6 < y ≤ 6.0 |
| 70% | Khoảng 9 | 85 < x ≤ 91 | 5.25 < y ≤ 5.6 |
| 80% | Khoảng 10 | 77 < x ≤ 85 | 5.0 < y ≤ 5.25 |
| 90% | Khoảng 11 | 68 < x ≤ 77 | 4.5 < y ≤ 5.0 |
| > 90% | Khoảng 12 | 6 < x ≤ 68 | 1.5 < y ≤ 4.5 |
| Thứ hạng (%) |
Khoảng | Vật lí | |
| V-SAT (a < x ≤ b) | THPT (c < y ≤ d) | ||
| 3% | Khoảng 1 | 123 < x ≤ 147 | 9.5 < y ≤ 10 |
| 5% | Khoảng 2 | 118.5 < x ≤ 123 | 9.25 < y ≤ 9.5 |
| 10% | Khoảng 3 | 112.5 < x ≤ 118.5 | 9.0 < y ≤ 9.25 |
| 20% | Khoảng 4 | 105 < x ≤ 112.5 | 8.5 < y ≤ 9.0 |
| 30% | Khoảng 5 | 99.5 < x ≤ 105 | 8 < y ≤ 8.5 |
| 40% | Khoảng 6 | 94.5 < x ≤ 99.5 | 7.75 < y ≤ 8 |
| 50% | Khoảng 7 | 90 < x ≤ 94.5 | 7.5 < y ≤ 7.75 |
| 60% | Khoảng 8 | 85 < x ≤ 90 | 7.25 < y ≤ 7.5 |
| 70% | Khoảng 9 | 80 < x ≤ 85 | 6.75 < y ≤ 7.25 |
| 80% | Khoảng 10 | 74 < x ≤ 80 | 6.35 < y ≤ 6.75 |
| 90% | Khoảng 11 | 66.5 < x ≤ 74 | 5.75 < y ≤ 6.35 |
| > 90% | Khoảng 12 | 17 < x ≤ 66.5 | 3.05 < y ≤ 5.75 |
| Thứ hạng (%) |
Khoảng | Hóa học | |
| V-SAT (a < x ≤ b) | THPT (c < y ≤ d) | ||
| 3% | Khoảng 1 | 129 < x ≤ 150 | 9.5 < y ≤ 10 |
| 5% | Khoảng 2 | 124.5 < x ≤ 129 | 9.25 < y ≤ 9.5 |
| 10% | Khoảng 3 | 117 < x ≤ 124.5 | 8.75 < y ≤ 9.25 |
| 20% | Khoảng 4 | 107.5 < x ≤ 117 | 8.25 < y ≤ 8.75 |
| 30% | Khoảng 5 | 100.5 < x ≤ 107.5 | 7.75 < y ≤ 8.25 |
| 40% | Khoảng 6 | 94 < x ≤ 100.5 | 7.25 < y ≤ 7.75 |
| 50% | Khoảng 7 | 88 < x ≤ 94 | 6.75 < y ≤ 7.25 |
| 60% | Khoảng 8 | 81.5 < x ≤ 88 | 6.25 < y ≤ 6.75 |
| 70% | Khoảng 9 | 75.5 < x ≤ 81.5 | 5.75 < y ≤ 6.25 |
| 80% | Khoảng 10 | 68.5 < x ≤ 75.5 | 5.25 < y ≤ 5.75 |
| 90% | Khoảng 11 | 59.5 < x ≤ 68.5 | 4.6 < y ≤ 5.25 |
| > 90% | Khoảng 12 | 20 < x ≤ 59.5 | 1.35 < y ≤ 4.6 |
| Thứ hạng (%) |
Khoảng | Sinh học | |
| V-SAT (a < x ≤ b) | THPT (c < y ≤ d) | ||
| 3% | Khoảng 1 | 130.5 < x ≤ 150 | 9 < y ≤ 9.75 |
| 5% | Khoảng 2 | 126.5 < x ≤ 130.5 | 8.75 < y ≤ 9 |
| 10% | Khoảng 3 | 120.5 < x ≤ 126.5 | 8.34 < y ≤ 8.75 |
| 20% | Khoảng 4 | 112.5 < x ≤ 120.5 | 7.85 < y ≤ 8.34 |
| 30% | Khoảng 5 | 105.5 < x ≤ 112.5 | 7.5 < y ≤ 7.85 |
| 40% | Khoảng 6 | 100 < x ≤ 105.5 | 7.25 < y ≤ 7.5 |
| 50% | Khoảng 7 | 94.5 < x ≤ 100 | 6.85 < y ≤ 7.25 |
| 60% | Khoảng 8 | 88.5 < x ≤ 94.5 | 6.5 < y ≤ 6.85 |
| 70% | Khoảng 9 | 82.5 < x ≤ 88.5 | 6.25 < y ≤ 6.5 |
| 80% | Khoảng 10 | 76 < x ≤ 82.5 | 5.85 < y ≤ 6.25 |
| 90% | Khoảng 11 | 66.5 < x ≤ 76 | 5.25 < y ≤ 5.85 |
| > 90% | Khoảng 12 | 26.5 < x ≤ 66.5 | 2.8 < y ≤ 5.25 |
| Thứ hạng (%) |
Khoảng | Lịch sử | |
| V-SAT (a < x ≤ b) | THPT (c < y ≤ d) | ||
| 3% | Khoảng 1 | 133.5 < x ≤ 150 | 9.75 < y ≤ 10 |
| 5% | Khoảng 2 | 131 < x ≤ 133.5 | 9.5 < y ≤ 9.75 |
| 10% | Khoảng 3 | 126.5 < x ≤ 131 | 9.25 < y ≤ 9.5 |
| 20% | Khoảng 4 | 120.5 < x ≤ 126.5 | 9 < y ≤ 9.25 |
| 30% | Khoảng 5 | 115 < x ≤ 120.5 | 8.5 < y ≤ 9 |
| 40% | Khoảng 6 | 110 < x ≤ 115 | 8.25 < y ≤ 8.5 |
| 50% | Khoảng 7 | 105.5 < x ≤ 110 | 8 < y ≤ 8.25 |
| 60% | Khoảng 8 | 101 < x ≤ 105.5 | 7.75 < y ≤ 8 |
| 70% | Khoảng 9 | 95.5 < x ≤ 101 | 7.5 < y ≤ 7.75 |
| 80% | Khoảng 10 | 88.5 < x ≤ 95.5 | 7 < y ≤ 7.5 |
| 90% | Khoảng 11 | 79.5 < x ≤ 88.5 | 6.35 < y ≤ 7 |
| > 90% | Khoảng 12 | 36.5 < x ≤ 79.5 | 2.95 < y ≤ 6.35 |
| Thứ hạng (%) |
Khoảng | Địa lí | |
| V-SAT (a < x ≤ b) | THPT (c < y ≤ d) | ||
| 3% | Khoảng 1 | 124 < x ≤ 141 | 10 |
| 5% | Khoảng 2 | 120.5 < x ≤ 124 | 10 |
| 10% | Khoảng 3 | 115.5 < x ≤ 120.5 | 9.75 < y ≤ 10 |
| 20% | Khoảng 4 | 108.5 < x ≤ 115.5 | 9.25 < y ≤ 9.75 |
| 30% | Khoảng 5 | 103 < x ≤ 108.5 | 9 < y ≤ 9.25 |
| 40% | Khoảng 6 | 98.5 < x ≤ 103 | 8.75 < y ≤ 9 |
| 50% | Khoảng 7 | 94 < x ≤ 98.5 | 8.5 < y ≤ 8.75 |
| 60% | Khoảng 8 | 89.5 < x ≤ 94 | 8.25 < y ≤ 8.5 |
| 70% | Khoảng 9 | 84.5 < x ≤ 89.5 | 7.75 < y ≤ 8.25 |
| 80% | Khoảng 10 | 79 < x ≤ 84.5 | 7.25 < y ≤ 7.75 |
| 90% | Khoảng 11 | 71 < x ≤ 79 | 6.5 < y ≤ 7.25 |
| > 90% | Khoảng 12 | 31 < x ≤ 71 | 3 < y ≤ 6.5 |
| Thứ hạng (%) |
Khoảng | Tiếng Anh | |
| V-SAT (a < x ≤ b) | THPT (c < y ≤ d) | ||
| 3% | Khoảng 1 | 131 < x ≤ 150 | 7.75 < y ≤ 9.75 |
| 5% | Khoảng 2 | 127.5 < x ≤ 131 | 7.5 < y ≤ 7.75 |
| 10% | Khoảng 3 | 120.5 < x ≤ 127.5 | 7 < y ≤ 7.5 |
| 20% | Khoảng 4 | 112 < x ≤ 120.5 | 6.5 < y ≤ 7 |
| 30% | Khoảng 5 | 105 < x ≤ 112 | 6 < y ≤ 6.5 |
| 40% | Khoảng 6 | 98.5 < x ≤ 105 | 5.75 < y ≤ 6 |
| 50% | Khoảng 7 | 92 < x ≤ 98.5 | 5.5 < y ≤ 5.75 |
| 60% | Khoảng 8 | 85.5 < x ≤ 92 | 5.25 < y ≤ 5.5 |
| 70% | Khoảng 9 | 78.5 < x ≤ 85.5 | 5 < y ≤ 5.25 |
| 80% | Khoảng 10 | 70.5 < x ≤ 78.5 | 4.5 < y ≤ 5 |
| 90% | Khoảng 11 | 60 < x ≤ 70.5 | 4< y ≤ 4.5 |
| > 90% | Khoảng 12 | 20.5 < x ≤ 60 | 1.25 < y ≤ 4 |
| Thứ hạng (%) |
Khoảng | Ngữ văn | |
| V-SAT (a < x ≤ b) | THPT (c < y ≤ d) | ||
| 3% | Khoảng 1 | 129.5 < x ≤ 146 | 9.25 < y ≤ 9.75 |
| 5% | Khoảng 2 | 127.5 < x ≤ 129.5 | 9.0 < y ≤ 9.25 |
| 10% | Khoảng 3 | 124 < x ≤ 127.5 | 9.0 |
| 20% | Khoảng 4 | 119.5 < x ≤ 124 | 8.75 < y ≤ 9.0 |
| 30% | Khoảng 5 | 115.5 < x ≤ 119.5 | 8.5 < y ≤ 8.75 |
| 40% | Khoảng 6 | 112.5 < x ≤ 115.5 | 8.25 < y ≤ 8.5 |
| 50% | Khoảng 7 | 109 < x ≤ 112.5 | 8 < y ≤ 8.25 |
| 60% | Khoảng 8 | 106 < x ≤ 109 | 7.75 < y ≤ 8.0 |
| 70% | Khoảng 9 | 102 < x ≤ 106 | 7.5 < y ≤ 7.75 |
| 80% | Khoảng 10 | 97 < x ≤ 102 | 7.25 < y ≤ 7.5 |
| 90% | Khoảng 11 | 90 < x ≤ 97 | 6.75 < y ≤ 7.25 |
| > 90% | Khoảng 12 | 5 < x ≤ 90 | 3.5 < y ≤ 6.75 |
Khung quy đổi điểm thi V-SAT và điểm thi tốt nghiệp THPT các môn Toán, Vật lí, Hóa học, Sinh học theo các mốc phân vị như sau:
| TỐP | Toán | Vật lí | Hóa học | Sinh học | |||||||
| V-SAT | THPT | V-SAT | THPT | V-SAT | THPT | V-SAT | THPT | ||||
| 3% | 132.00 | 8.50 | 123.00 | 9.50 | 129.00 | 9.50 | 130.50 | 9.00 | |||
| 5% | 128.50 | 8.10 | 118.50 | 9.25 | 124.50 | 9.25 | 126.50 | 8.75 | |||
| 10% | 122.50 | 7.75 | 112.50 | 9.00 | 117.00 | 8.75 | 120.50 | 8.34 | |||
| 20% | 114.50 | 7.00 | 105.00 | 8.50 | 107.50 | 8.25 | 112.50 | 7.85 | |||
| 30% | 108.00 | 6.60 | 99.50 | 8.00 | 100.50 | 7.75 | 105.50 | 7.50 | |||
| 40% | 102.50 | 6.25 | 94.50 | 7.75 | 94.00 | 7.25 | 100.00 | 7.25 | |||
| 50% | 97.00 | 6.00 | 90.00 | 7.50 | 88.00 | 6.75 | 94.50 | 6.85 | |||
| 60% | 91.00 | 5.60 | 85.00 | 7.25 | 81.50 | 6.25 | 88.50 | 6.50 | |||
| 70% | 85.00 | 5.25 | 80.00 | 6.75 | 75.50 | 5.75 | 82.50 | 6.25 | |||
| 80% | 77.50 | 5.00 | 74.00 | 6.35 | 68.50 | 5.25 | 76.00 | 5.85 | |||
| 90% | 68.00 | 4.50 | 66.50 | 5.75 | 59.50 | 4.60 | 66.50 | 5.25 | |||
| >90% | 6.00 | 1.50 | 17.00 | 3.05 | 20.00 | 1.35 | 26.50 | 2.80 | |||
Khung quy đổi điểm thi V-SAT và điểm thi tốt nghiệp THPT các môn Lịch sử, Địa lí, Tiếng Anh, Ngữ văn theo các mốc phân vị như sau:
| TỐP | Lịch sử | Địa lí | Tiếng Anh | Ngữ văn | ||||||||
| V-SAT | THPT | V-SAT | THPT | V-SAT | THPT | V-SAT | THPT | |||||
| 3% | 133.50 | 9.75 | 124.00 | 10.00 | 131.00 | 7.75 | 129.50 | 9.25 | ||||
| 5% | 131.00 | 9.50 | 120.50 | 10.00 | 127.50 | 7.50 | 127.50 | 9.00 | ||||
| 10% | 126.50 | 9.25 | 115.50 | 9.75 | 120.50 | 7.00 | 124.00 | 9.00 | ||||
| 20% | 120.50 | 9.00 | 108.50 | 9.25 | 112.00 | 6.50 | 119.50 | 8.75 | ||||
| 30% | 115.00 | 8.50 | 103.00 | 9.00 | 105.00 | 6.00 | 115.50 | 8.50 | ||||
| 40% | 110.00 | 8.25 | 98.50 | 8.75 | 98.50 | 5.75 | 112.50 | 8.25 | ||||
| 50% | 105.50 | 8.00 | 94.00 | 8.50 | 92.00 | 5.50 | 109.00 | 8.00 | ||||
| 60% | 101.00 | 7.75 | 89.50 | 8.25 | 85.50 | 5.25 | 106.00 | 7.75 | ||||
| 70% | 95.50 | 7.50 | 84.50 | 7.75 | 78.50 | 5.00 | 102.00 | 7.50 | ||||
| 80% | 88.50 | 7.00 | 79.00 | 7.25 | 70.50 | 4.50 | 97.00 | 7.25 | ||||
| 90% | 79.50 | 6.35 | 71.00 | 6.50 | 60.00 | 4.00 | 90.00 | 6.75 | ||||
| >90% | 36.50 | 2.95 | 31.00 | 3.00 | 20.50 | 1.25 | 5.00 | 3.50 | ||||
Lợi thế từ quy đổi – phân tích chi tiết
- Bên cạnh V‑SAT, nhiều trường áp dụng phương pháp bách phân vị và nội suy tuyến tính để quy đổi cả học bạ và các bài thi riêng (HSA, TSA…) sang thang điểm thi tốt nghiệp, đảm bảo công bằng xét tuyển.
- Các mốc phân vị (1 %, 3 %, 5 %, 10 %, 20 %,…) giúp xác định vị trí tương đương điểm giữa các phương thức xét tuyển.
Tổng kết & Lời khuyên cho phụ huynh – học sinh
- Đừng chỉ nhìn vào số liệu thô
Điểm V‑SAT cao không đồng nghĩa điểm THPT cao nếu phân vị thấp (ví dụ 95/150 là 50% không phản ánh tốt phân hóa). - Tính thử trên bảng quy đổi từng trường
Mỗi trường công bố bảng phân vị riêng. Hãy xác định vị trí x rồi nội suy để biết tương đương bao nhiêu điểm THPT khi đăng ký. - Ưu tiên phương thức thuận lợi nhất
Nếu V‑SAT tương đương điểm THPT cao hơn học bạ, bạn nên ưu tiên xét bằng đó; ngược lại, chọn học bạ đã tốt sẵn là phương án an toàn. - Kết hợp linh hoạt để gia tăng cơ hội
Sử dụng kết quả THPT, V‑SAT, chứng chỉ quốc tế, kết quả học bạ… giúp tối ưu kết quả xét tuyển, đặc biệt trong ngành khối xét năng lực. - Theo sát hướng dẫn và mốc công bố
Trường công bố hướng dẫn trước khi kết thúc điều chỉnh nguyện vọng (28/7) và điểm trúng tuyển (đầu tháng 8). Căn cứ chính xác vào bảng để điều chỉnh kịp thời.
Kết luận, quy đổi điểm V‑SAT sang điểm thi THPT giúp làm cân bằng sân chơi giữa các phương thức xét tuyển. Phụ huynh và học sinh hãy tìm hiểu kỹ bảng phân vị của từng trường, tự tính thử trước nguyện vọng và phối hợp linh hoạt nhiều phương thức để nâng cao cơ hội vào ngôi trường mong muốn.



