Trong kỳ tuyển sinh đại học năm 2025, Đại học Bách khoa Hà Nội (ĐHBKHN) tiếp tục triển khai ba phương thức tuyển sinh chính: Xét tuyển tài năng (XTTN), xét tuyển theo điểm thi Đánh giá tư duy (ĐGTD) và xét tuyển theo điểm thi tốt nghiệp THPT. Đặc biệt, nhà trường áp dụng phương án quy đổi điểm chuẩn giữa các phương thức nhằm đảm bảo công bằng và minh bạch trong tuyển sinh.

Phân bổ chỉ tiêu tuyển sinh năm 2025
*Lưu ý: So với năm 2024, tỷ lệ chỉ tiêu xét tuyển theo điểm thi tốt nghiệp THPT giảm 10%.
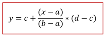
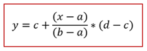
Công thức nội suy quy đổi điểm:
Nếu điểm x thuộc khoảng [a, b) → điểm tương đương y thuộc khoảng [c, d) thì:
Ví dụ minh họa quy đổi điểm chuẩn (Dữ liệu năm 2024)

Ví dụ trong năm 2024, điểm chuẩn (điểm trúng tuyển) của ngành/chương trình MS2 – Kỹ thuật vi điện tử và Công nghệ nano của Đại học Bách khoa Hà Nội theo phương thức ĐGTD là 71.68 điểm (x = 71.68). Như vậy mức điểm chuẩn này sẽ thuộc khoảng phân vị 3 (Khoảng 3), có giá trị điểm ĐGTD từ [68.55 – 74.77). Khi đó điểm chuẩn tương đương đối với điểm thi tốt nghiệp THPT sẽ thuộc khoảng phân vị tương ứng (Khoảng 3) có giá trị điểm thi tốt nghiệp THPT từ [27.14 – 28.04). Từ đó xác định các hệ số quy đổi tương ứng sẽ là:
a = 68.55; b = 74.77; c = 27.14; d = 28.04
Áp dụng công thức nội suy tính điểm chuẩn tương đương đối với điểm thi tốt nghiệp THPT y từ điểm chuẩn ĐGTD x = 71.68 sẽ được tính như sau:

![]()
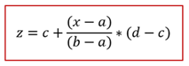
Tương tự, tính điểm chuẩn tương đương đối với điểm XTTN diện 1.3 cho chương trình MS2 sẽ thuộc khoảng phân vị tương ứng (Khoảng 3) có giá trị điểm XTTN từ [73.87 – 87.20). Khi đó các hệ số quy đổi tương ứng sẽ là:
a = 68.55; b = 74.77; c = 73.87; d = 87.20
Áp dụng công thức nội suy tính điểm chuẩn tương đương đối với điểm XTTN diện 1.3 z từ điểm chuẩn ĐGTD x = 71.68 sẽ được tính như sau:

![]()
Phương án quy đổi điểm chuẩn giữa các phương thức
ĐHBKHN áp dụng một thang điểm chuẩn chung cho tất cả các phương thức tuyển sinh. Điều này có nghĩa là điểm chuẩn của từng ngành sẽ được quy đổi tương đương giữa các phương thức, đảm bảo sự công bằng cho thí sinh, bất kể phương thức xét tuyển mà thí sinh lựa chọn.
Chi tiết các phương thức tuyển sinh
1. Xét tuyển tài năng (XTTN)
Gồm ba diện xét tuyển:
- Xét tuyển thẳng theo quy định của Bộ GD&ĐT: Áp dụng cho thí sinh đoạt giải trong các kỳ thi học sinh giỏi quốc gia, quốc tế hoặc cuộc thi khoa học kỹ thuật.
- Xét tuyển dựa trên chứng chỉ quốc tế: Dành cho thí sinh có điểm trung bình học tập từ 8.0 trở lên và sở hữu chứng chỉ quốc tế như SAT, ACT.
- Xét tuyển theo hồ sơ năng lực kết hợp phỏng vấn: Áp dụng cho thí sinh có điểm trung bình học tập từ 8.0 trở lên và đáp ứng một trong các điều kiện như tham gia kỳ thi học sinh giỏi, cuộc thi khoa học kỹ thuật, chương trình Đường lên đỉnh Olympia hoặc là học sinh hệ chuyên.
2. Xét tuyển theo điểm thi Đánh giá tư duy (ĐGTD)
- Thí sinh tham dự kỳ thi ĐGTD do ĐHBKHN tổ chức.
- Kỳ thi ĐGTD năm 2025 dự kiến tổ chức thành ba đợt: tháng 1, tháng 3 và cuối tháng 4 đầu tháng 5.
- Kết quả kỳ thi ĐGTD được gần 50 trường đại học sử dụng để xét tuyển.
3. Xét tuyển theo điểm thi tốt nghiệp THPT
- Thí sinh tham dự kỳ thi tốt nghiệp THPT năm 2025.
- Giữ nguyên 10 tổ hợp xét tuyển truyền thống và bổ sung tổ hợp mới K01.
- Tổ hợp K01 gồm: Toán, Ngữ văn và một trong các môn Lý, Hóa, Sinh hoặc Tin.
Quy định về ngoại ngữ
Thí sinh có chứng chỉ tiếng Anh quốc tế hoặc VSTEP có thể quy đổi thành điểm môn tiếng Anh khi xét tuyển theo điểm thi tốt nghiệp THPT và được cộng điểm thưởng khi xét tuyển theo phương thức XTTN và ĐGTD.
- Chứng chỉ tiếng Anh quốc tế: IELTS (academic) từ 5.0 trở lên hoặc tương đương.
- Chứng chỉ VSTEP: Trình độ B1 trở lên.
Đối với các chương trình giảng dạy bằng tiếng Anh hoặc chương trình liên kết quốc tế, thí sinh cần đáp ứng các yêu cầu về trình độ tiếng Anh cụ thể theo từng chương trình.
Tổng kết và lời khuyên cho phụ huynh, học sinh
Với việc áp dụng phương án quy đổi điểm chuẩn giữa các phương thức tuyển sinh, ĐHBKHN hướng đến một quy trình tuyển sinh công bằng và minh bạch. Phụ huynh và học sinh cần lưu ý:
- Đa dạng hóa phương thức xét tuyển: Thí sinh nên cân nhắc tham gia nhiều phương thức xét tuyển để tăng cơ hội trúng tuyển.
- Chuẩn bị kỹ lưỡng cho kỳ thi ĐGTD: Đây là kỳ thi được nhiều trường đại học sử dụng kết quả để xét tuyển.
- Nâng cao năng lực ngoại ngữ: Sở hữu chứng chỉ tiếng Anh quốc tế sẽ là lợi thế lớn trong quá trình xét tuyển.
- Theo dõi thông tin tuyển sinh: Cập nhật thường xuyên các thông báo từ ĐHBKHN và Bộ GD&ĐT để nắm bắt kịp thời các mốc thời gian và yêu cầu tuyển sinh.
Phụ huynh và học sinh cần chủ động trong việc tìm hiểu và chuẩn bị để có thể lựa chọn phương thức xét tuyển phù hợp nhất với năng lực và nguyện vọng của mình.




