Lần đầu tiên, mức chênh lệch giữa điểm học bạ lớp 12 và điểm thi tốt nghiệp THPT năm 2025 được thống kê toàn quốc. Kết quả cho thấy đa số học sinh có điểm học bạ cao hơn đáng kể so với điểm thi, đặc biệt ở các môn như Toán và Tiếng Anh. Thực tế này đặt ra vấn đề: nên tin vào học bạ hay điểm thi? Và làm sao để phụ huynh, học sinh lựa chọn đúng phương thức xét tuyển phù hợp?

Bảng so sánh chênh lệch giữa học bạ và điểm thi tốt nghiệp
| Môn học | Điểm học bạ trung bình | Điểm thi THPT trung bình | Chênh lệch |
|---|---|---|---|
| Toán | 7,03 | 4,78 | +2,25 |
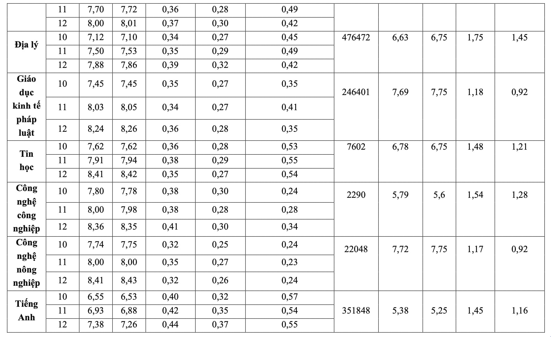
| Tiếng Anh | (ước lượng) | 5,38 | +1,57 |
| Ngữ văn | – | (gần bằng học bạ) | +0,12 |
| Công nghệ | – | – | +2,26 |
| Các môn khác | – | – | +0,12 đến +2,26 |
- Tất cả các môn đều có điểm học bạ cao hơn điểm thi.
- Mức chênh lệch lớn nhất rơi vào Toán và Công nghệ.
- Ngữ văn là môn có độ chênh thấp nhất, gần như tương đương giữa hai hình thức.
Chênh lệch giữa điểm học bạ và thi tốt nghiệp THPT 2025 như sau:


Nhìn lại kết quả thực tế của hai nhóm thí sinh
| Nhóm thí sinh | Tổng điểm tổ hợp thi THPT | Tình trạng trúng tuyển | Chất lượng đầu vào |
|---|---|---|---|
| Trúng tuyển bằng học bạ | Khoảng 20 điểm | Tỷ lệ cao | Đa dạng, có phân hóa |
| Trúng tuyển bằng điểm thi THPT | Trên 23 điểm | Ổn định, có chọn lọc | Nhìn chung cao hơn |
- Tuy học bạ “đẹp”, nhưng nhiều thí sinh thi không đạt kỳ vọng.
- Trong khi đó, các em đỗ bằng điểm thi có sự sàng lọc rõ rệt hơn.
- Tuy nhiên, sau 1 năm học đại học, năng lực học tập giữa hai nhóm lại khá tương đương.
Tổng kết & Lời khuyên dành cho phụ huynh – học sinh
- Không nên tuyệt đối hóa điểm học bạ
– Dù học bạ cao nhưng nếu thiếu kỹ năng làm bài, điểm thi vẫn có thể thấp. Học bạ chỉ nên được xem là một yếu tố tham khảo. - Cân nhắc kỹ khi chọn phương thức xét tuyển
– Nếu học sinh mạnh về học bạ, có thể ưu tiên đăng ký các trường sử dụng học bạ làm chính. Tuy nhiên, cần kiểm tra phổ điểm thi để tránh “lệch kỳ vọng”. - Ưu tiên phương án kết hợp đa dạng
– Kết hợp học bạ với thi tốt nghiệp, điểm đánh giá năng lực, chứng chỉ tiếng Anh sẽ giúp tăng cơ hội trúng tuyển. Không nên chỉ đặt hết kỳ vọng vào một kênh. - Dựa vào năng lực thật khi chọn ngành học
– Việc chọn sai ngành do quá tự tin vào học bạ nhưng thiếu nền tảng thực sự có thể khiến sinh viên gặp khó khăn khi vào đại học. - Theo dõi sát lịch tuyển sinh và điều chỉnh hợp lý
– Điều chỉnh nguyện vọng đúng thời điểm, có chiến lược phù hợp với mức điểm thực tế sẽ giúp thí sinh tránh rơi vào thế bị động hoặc trượt oan.
Kết luận
Sự chênh lệch giữa học bạ và điểm thi là một thực tế không thể phủ nhận, phản ánh khoảng cách giữa đánh giá nội bộ và đánh giá độc lập. Phụ huynh và học sinh cần tỉnh táo, không nên “say” điểm số trong học bạ, mà hãy lấy kết quả thi và năng lực thật làm trung tâm để xây dựng chiến lược xét tuyển hiệu quả, phù hợp và bền vững.



